Sappiamo tutti, credo, che l’obesità è un problema estremamente grave, causa e concausa di numerose e gravi patologie, con conseguenze pesanti sia in termini di vite umane perdute che di costi per il sistema sanitario (in USA, si stima che il costo annuo per la sanità provocato dall’obesità sia di ben 147 miliardi di dollari). Il problema è esteso a tutto il mondo, anche se in genere tendiamo a considerarlo tipico dei paesi “ricchi”, e speciale attenzione richiede la diffusione dell’obesità tra bambini e adolescenti, un fenomeno in grave e preoccupante crescita globalmente.
All’obesità, e in particolare all’obesità infantile, è dedicato un recente articolo (leggibile gratis) apparso su Lancet, forse la più autorevole rivista medica al mondo. Vorrei riassumerne qui qualche elemento, perché trovo che ci ricordi l’importanza di curare la nostra alimentazione (e quella dei nostri ragazzi) e perché forse corregge qualche preconcetto errato abbastanza diffuso.
Cominciamo dai dati globali: la figura qui sotto riporta la crescita del numero (non della percentuale) di bambini e adolescenti obesi nel mondo, a partire dal 1975. Sono evidenziati separatamente i diversi contributi derivanti dall’aumento del numero totale di bambini (le fasce in azzurro e ocra) e dall’aumento dell’incidenza dell’obesità (in rosa).

Impressionante, no? Si può ragionevolmente ritenere che si stia preparando una “bomba a tempo” che provocherà nei prossimi decenni pesanti ricadute sanitarie, quando i ragazzi di oggi diventeranno adulti con una storia pluridecennale di obesità. Ma vediamo meglio la situazione anche di specifiche aree geografiche, cominciando dalle mappe planetarie dell’incidenza dell’obesità tra gli adulti, definita sulla base del BMI, o Body Mass Index (ovviamente a una colorazione più intensa corrisponde una maggiore incidenza):


Come si vede, se è vero che l’Africa subsahariana e l’Asia del Sud-Est sono le zone a più bassa incidenza di obesità, è evidente che al fattore socioeconomico se ne affiancano altri, da quello genetico a quelli, culturali, condivisi all’interno di specifiche aree geografiche. Tutti questi fattori, però, sono in evoluzione, e lo si vede molto bene dai grafici qui sotto, che riportano l’andamento del numero di adulti obesi per area geografica: il rapido incremento che si osserva è dovuto negli ultimi anni soprattutto all’America Latina e all’Asia, e anche l’Africa ha un trend di crescita significativo, mentre l’Europa occidentale tende a stabilizzarsi.

Infine, vediamo qualcosa relativo all’Italia e ad altri singoli paesi. In Italia, negli anni recenti, l’attenzione a fitness e dieta, non solo per il sesso femminile, sembra aver ottenuto risultati significativi, tanto da far osservare una diminuzione del BMI (ricordiamo che per gli adulti l’obesità corrisponde a un BMI superiore a 30):

In realtà, il fenomeno dell’obesità non riguarda tanto il BMI medio, quanto le punte estreme. Come si vede dai diagrammi qui sotto, le fasce di sovrappeso continuano a crescere, soprattutto tra gli uomini, il che mi fa ritenere che i comportamenti mediamente più “virtuosi” si siano diffusi soprattutto tra coloro che erano già ragionevolmente attenti al peso. Il problema, secondo l’osservatorio dell’ISS, è peraltro disomogeneo anche sul territorio, e decisamente più serio al Sud, per ragioni culturali credo intuibili.

In altri paesi europei, gli adulti in media non sembrano aver corretto il loro comportamento alimentare, ma i ragazzi sì:


Persino negli USA, dove oltre il 36% degli adulti è obeso, sembra che i ragazzi possano invertire la tendenza:

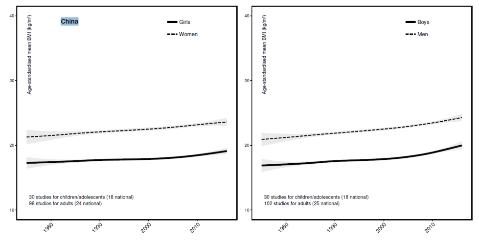
Mentre in Cina, al contrario, il fenomeno del sovrappeso (non ancora dell’obesità) comincia a farsi sentire, specialmente tra gli uomini e i ragazzi maschi:

In conclusione: l’obesità è un grave problema, largamente derivante dallo stile di vita che ciascuno segue, e quindi contemporaneamente facilissimo e difficilissimo da contrastare. I dati ci dicono che è ancora in crescita quasi ovunque nel mondo, e in particolare tra popolazioni che fino a pochi anni fa ne erano pressoché esenti, mentre nei paesi economicamente più avanzati la consapevolezza dell’importanza di contenere il peso corporeo (e, aggiungerei, la pressione sociale del modello estetico dominante) fa segnare una timida inversione di tendenza media soprattutto tra i ragazzi, senza però eliminare le “code” di forte sovrappeso. Se quindi globalmente c’è da attendersi un pesante aumento delle patologie indotte dall’obesità, che metteranno certamente alla prova le strutture sanitarie, mi verrebbe da dire che da noi l’essenziale sarebbe diffondere in modo capillare una trasformazione “virtuosa” di comportamenti che si sta già evidenziando in almeno parte della società, appunto quella più economicamente avanzata e più “cosmopolita”. Dai dati che ho sommariamente citato, sia internazionali che nazionali, traggo insomma la sensazione che la correlazione tra “ricchezza” e sovrappeso si stia invertendo, e che la crescita dell’obesità tenda a concentrarsi nei paesi e nei ceti “intermedi”, abbastanza benestanti ma meno che ricchi.
